南海诸岛位置略图,揭示南海地理格局与重要性,南海地理格局揭秘,诸岛位置略图揭示南海重要性

南海诸岛位置略图,揭示南海地理格局与重要性,南海地理格局揭秘,诸岛位置略图揭示南海重要性

星空探险 2025-07-08 热点 4856 次浏览 0个评论
摘要:南海诸岛位置略图展示了南海的地理格局及其重要性。南海是中国领土不可分割的一部分,拥有丰富的资源和重要的战略地位。该略图描绘了南海诸岛的位置,凸显了其在维护国家主权和安全方面的关键作用。南海的地理格局也反映了该地区复杂的海洋环境和生态系统,对于全球气候和生物多样性保护具有重要意义。

本文目录导读:

  1. 南海诸岛概述
  2. 南海诸岛位置略图
  3. 南海地理格局
  4. 南海的重要性
  5. 南海诸岛在维护国家权益中的作用

南海是中国重要的海域之一,拥有丰富的资源和重要的战略地位,南海诸岛作为南海的核心组成部分,其地理位置的重要性不言而喻,本文将通过介绍南海诸岛位置略图,揭示南海地理格局与重要性,让读者更好地了解南海及其周边地区的地理特征。

南海诸岛概述

南海诸岛是指中国南海海域内的一系列岛屿和岛礁,包括东沙群岛、西沙群岛、中沙群岛和南沙群岛等,这些岛屿和岛礁分布广泛,是中国南海的重要组成部分,南海诸岛拥有丰富的海洋资源,如渔业资源、油气资源等,同时也是维护国家海洋权益的重要阵地。

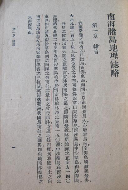
南海诸岛位置略图

南海诸岛位置略图是一份展示南海诸岛地理位置的地图,在这份略图中,可以清晰地看到南海诸岛的分布、形状、大小以及与周边地区的相对位置,通过这份略图,我们可以了解到南海诸岛的地理位置十分重要,它们分布在南海的核心区域,控制着南海的航道和海域。

南海诸岛位置略图,揭示南海地理格局与重要性,南海地理格局揭秘,诸岛位置略图揭示南海重要性

南海地理格局

南海地理格局复杂多样,包括岛屿、海峡、暗礁等,南海诸岛是南海地理格局的核心组成部分,它们的分布直接影响着南海的整体格局,通过南海诸岛位置略图,我们可以清晰地看到南海的地理特征,了解各岛屿和岛礁的相对位置,从而更好地认识南海的整体格局。

南海的重要性

南海的重要性体现在多个方面,南海是中国的重要海域,拥有丰富的海洋资源,南海诸岛作为南海的核心组成部分,拥有丰富的渔业资源和油气资源,对中国的经济发展具有重要意义,南海具有重要的战略地位,南海诸岛控制着南海的航道和海域,对于维护国家的海洋权益和安全具有重要意义,南海还是连接太平洋和印度洋的重要通道,具有重要的航运价值。

南海诸岛在维护国家权益中的作用

南海诸岛在维护国家权益中发挥着重要作用,南海诸岛是中国领土不可分割的一部分,维护南海诸岛的领土完整是国家的重要任务,南海诸岛是维护国家海洋权益的重要阵地,通过有效控制南海诸岛,中国可以保护自己的海洋资源和航道安全,维护国家的海洋权益,南海诸岛还是展示中国在国际舞台上的重要窗口,体现了中国在国际事务中的影响力和地位。

通过介绍南海诸岛位置略图,本文揭示了南海地理格局与重要性,南海作为中国重要的海域之一,拥有丰富的资源和重要的战略地位,南海诸岛作为南海的核心组成部分,其地理位置的重要性不言而喻,通过有效控制南海诸岛,中国可以保护自己的海洋资源和航道安全,维护国家的海洋权益,加强南海诸岛的研究和保护具有重要意义。

南海诸岛位置略图,揭示南海地理格局与重要性,南海地理格局揭秘,诸岛位置略图揭示南海重要性

为了更好地保护南海诸岛,我们需要采取以下措施:

1、加强南海诸岛的研究和保护工作,加强对南海诸岛历史、地理、资源等方面的研究,为保护南海诸岛提供科学依据。

2、加强与其他国家的合作与交流,共同维护南海的和平稳定与繁荣。

3、加强公众对南海诸岛的认识和了解,提高国家海洋意识,增强民族自豪感。

南海诸岛位置略图,揭示南海地理格局与重要性,南海地理格局揭秘,诸岛位置略图揭示南海重要性

通过了解南海诸岛位置略图,我们可以更好地认识南海的地理格局和重要性,为保护和利用南海资源、维护国家海洋权益提供有力支持。

转载请注明来自北京阳澄湖大闸蟹礼券,本文标题:《南海诸岛位置略图,揭示南海地理格局与重要性,南海地理格局揭秘,诸岛位置略图揭示南海重要性》

每一天,每一秒,你所做的决定都会改变你的人生!

发表评论

快捷回复:

评论列表 (暂无评论,4856人围观)参与讨论

还没有评论,来说两句吧...

Top
网站统计代码