阅兵手势不一样的独特魅力与深层含义,阅兵手势的独特魅力与深层含义解析
阅兵仪式上的手势展现出独特的魅力和深层含义。这些手势不仅体现了指挥官对部队的绝对掌控和指挥能力,更蕴含着深厚的军事文化和国家精神。每一个手势都经过精心设计,蕴含着对军队、对国家、对和平的崇高敬意与坚定信念。它们代表着...
解放军在台军演完不走了,坚定维护国家主权与领土完整的决心,解放军坚定维护国家主权与领土完整,台军演后不撤离决心坚定
解放军在台湾周边进行军事演习后,坚定维护国家主权与领土完整的决心,不会离开。此次军演充分展示了解放军捍卫国家利益的坚定意志和强大能力,向外界传递出明确信号,任何分裂国家的行为都将受到严厉打击。解放军将坚决履行职责,保...
军营里的级别排序,权力与责任的象征,军营级别揭秘,权力与责任的象征排序
摘要:军营内的级别排序体现了权力与责任的象征。各级军官根据资历、职务和贡献获得不同的地位。这种层级结构确保了指挥系统的有效运作和军事行动的协调统一。各级军官不仅拥有相应的权力,也承载着沉重的责任,需以身作则,引领部下...
持码王中王一肖,数字时代的精英与传奇,数字时代的精英传奇,持码王中王一肖
摘要:在数字时代,持码王中王一肖成为精英与传奇的代表。凭借卓越的技术实力和独特的思维策略,他在数字领域崭露头角,展现出非凡的才华和魅力。他的成功故事激励着无数人追求梦想,成为数字时代的榜样和典范。...
新闻报道中的观察,聚焦2022年6月的重要事件,聚焦2022年6月重大事件,新闻报道深度观察
摘要:新闻报道聚焦于2022年6月的重要事件,涵盖了多方面的动态。这个月,国际局势依旧紧张,而国内经济发展呈现积极态势。科技领域取得重大突破,一些新政策和新法规的实施引起了广泛关注。社会热点和民生问题也是报道的重点,...
海警1115舰,守护海洋安全的钢铁卫士,海警1115舰,海洋安全的钢铁卫士
海警1115舰是守护海洋安全的钢铁卫士。作为海上巡逻和执法的重要力量,该舰具备强大的反海盗、打击非法捕捞和维护海上秩序的能力。其先进的装备和技术手段,为海上安全提供了坚实的保障。海警1115舰的船员们以高度的责任感和...
全球十大最厉害的部队,全球十大最强部队概览
全球十大最厉害的部队摘要如下:,,本文介绍了全球十大最厉害的部队,这些部队以其卓越的战斗力、先进的武器装备和严格的训练标准而著称。他们分布在各个国家,拥有高度的纪律和战斗力,是世界上最强大的军事力量之一。这些部队在维...
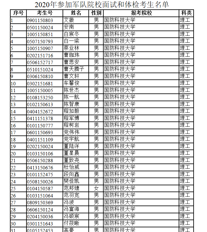
军队院校招生信息网2020,重塑军事人才培养的新篇章,军队院校招生信息网重塑军事人才培养新篇章,2020年招生信息概览
摘要:军队院校招生信息网2020年重塑军事人才培养的新篇章,致力于优化招生流程,提高军事人才选拔效率。通过信息化手段,为考生提供便捷的报名渠道和全面的招生信息,同时强化军事素质与专业能力评估,为军队培养更多优秀的人才...
刘伯温一肖中帖,神秘预言与传奇色彩的交织,刘伯温一肖中帖,神秘预言与传奇的交融
刘伯温一肖中帖,是神秘预言与传奇色彩的完美结合。这位传奇人物留下的预言帖,充满了神秘莫测的色彩。其中蕴含的深邃智慧和难以言表的神秘力量,让人不禁为之惊叹。刘伯温的预言不仅具有极高的历史价值,也一直是人们探索未知领域的...
萨德入韩又生新变故,全球安全局势下的新挑战与应对,萨德入韩引发全球安全局势新挑战与应对策略
摘要:全球安全局势面临新的挑战,韩国引入萨德反导系统再生变故。这一举措引发了地区安全环境的复杂变化,对全球稳定产生深远影响。各国需加强沟通与合作,共同应对这一新挑战,维护全球和平与安全。...














京ICP备2020048726号-8
京ICP备2020048726号-8